Q1. A sample of 400 male students
is found to have a mean height 67.47 inches. Can it be reasonably regarded as a
sample from a large population with mean height 67.39 inches and standard
deviation1.30 inches? Test at 5% level of significance.
Solution: Taking the null hypothesis
that the mean height of the population is equal to 67.39 inches, we can
write:
and the given information as X = 67.47”, σp =
1.30" , n = 400. Assuming the population to be normal, we can work out the test
statistic z as under:
As Ha is two-sided in the given question, we shall be applying a
two-tailed test for determining the
rejection regions at 5% level of
significance which comes to as under, using normal curve area table:
R: | z |
> 1.96
The observed value of z is 1.231 which is in the acceptance
region since R : | z | > 1.96 and thus H0
is accepted. We may conclude that the given sample (with mean height = 67.47") can be regarded
Q2 Suppose
we are interested in a population of 20 industrial units of the same size, all
of which are experiencing excessive labor problems. The past records show that
the mean of the distribution of annual turnover is 320 employees, with a
standard deviation of 75 employees. A sample of 5 of these industrial units is
taken at random which gives a mean of annual turnover as 300 employees. Is the
sample mean consistent with the population mean? Test at 5% level.
Solution: Taking the null hypothesis that the population mean is 320 employees, we can write:

and the given information as under:
X = 300 employees, σp =75 employees
n = 5; N = 20
Assuming the population to be
normal, we can work out the test statistic z as under:
As Ha is two-sided in the given question, we shall apply a
two-tailed test for determining the
rejection regions at 5% level of significance
which comes to as under, using normal curve area table:
R: | z |
> 1.96
The observed value of z is –0.67 which is in the acceptance
region since R: | z | > 1.96 and thus, H0 is accepted and we may conclude
that the sample mean is consistent with population mean i.e., the population
mean 320 is supported by sample results.
Q3 The mean of a certain production
process is known to be 50 with a standard deviation of 2.5. The production
manager may welcome any change is mean value towards higher side but would like
to safeguard against decreasing values of mean. He takes a sample of 12 items
that gives a mean value of 48.5. What inference should the manager take for the
production process on the basis of sample results? Use 5 per cent level of
significance for the purpose.
Solution: Taking the mean value of the population to be 50, we may write:
and the given information as X = 48.5, σp =
2.5 and n = 12. Assuming the population to be normal, we can work
out the test statistic z as
under:
As Ha is one-sided in the given question, we shall determine the
rejection region applying onetailedtest (in the left tail because Ha is of less than type) at 5 per
cent level of significance and it
comes to as under, using normal
curve area table:
R : z <
– 1.645
The observed value of z is – 2.0784 which is in the
rejection region and thus, H0
is rejected at 5 per cent level of significance. We can conclude that the
production process is showing mean which is significantly less than the
population mean and this calls for some corrective action concerning the said
process.
Q4 The specimen of copper wires
drawn form a large lot have the following breaking strength (in kg.weight):
578, 572, 570, 568, 572, 578, 570,
572, 596, 544
Test (using Student’s t-statistic) whether the mean
breaking strength of the lot may be taken to be578 kg. weight (Test at 5 per
cent level of significance). Verify the inference so drawn by using Sandler’s A-statistic as well.
Solution: Taking the null hypothesis that the
population mean is equal to hypothesized mean of 578 kg., we can write:
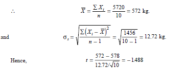
To find X and ss we make the following computations:
Degree of freedom = (n – 1) = (10 – 1) = 9
As Ha
is two-sided, we shall determine the rejection region applying two-tailed
test at 5 per cent level of significance, and it comes to as under, using table
of t-distribution* for 9 d.f.:
R :
| t | > 2.262
As the observed value of t (i.e., – 1.488) is in the
acceptance region, we accept H0
at 5 percent level and conclude that the mean breaking strength of copper wires
lot may be taken as 578 kg weight.
Q5 Raju Restaurant near the railway
station at Falna has been having average sales of 500 tea cups per day. Because
of the development of bus stand nearby, it expects to increase its sales.
During the first12 days after the start of the bus stand, the daily sales were
as under:
550, 570, 490, 615, 505, 580, 570, 460,
600, 580, 530, 526
On the basis of this sample information,
can one conclude that Raju Restaurant’s sales have increased? Use 5 per cent
level of significance.
Solution: Taking the null hypothesis that sales average 500 tea cups per day and they have not increased unless proved, we can write:
As the sample size is small and the
population standard deviation is not known, we shall use t-test assuming
normal population and shall work out the test statistic t as:
As Ha is one-sided, we shall determine the rejection region applying
one-tailed test (in the right tail because Ha is of more than type) at 5 per cent level of significance and
it comes to as under, using
table of t-distribution for 11 degrees of freedom:
R : t >
1.796
The observed value of t is 3.558 which is in the rejection
region and thus H0 is rejected
at 5 percent level of significance and we can conclude that the sample data
indicate that Raju restaurant’s sales have increased.
Table to be referred for problems















No comments:
Post a Comment